Invasive non-native species pathways in Brazil a priority-setting assessment

Image credit: Content available from Biological Invasions

Abstract

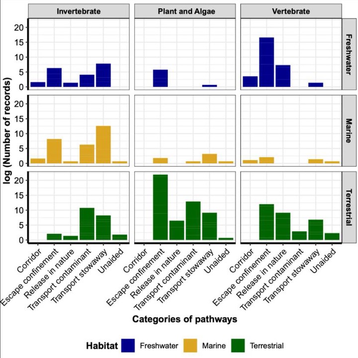
Managing pathways of species introductions is key to improve prevention, and predict the arrival of new species. We conducted a pathways assessment for invasive non-native species in Brazil considering three classes of species: (a) invasive non-native species already present; (b) contained: species introduced in Brazil with a history of invasion elsewhere, but so far not occurring in natural areas; and (c) absent from Brazil: species of potential introduction risk due to commercial relations with other countries, or close to country borders. We used a list of invasive and potentially invasive species compiled for Brazil as the basis of our assessment, with 238 plants and algae, and 319 animals, totalling 557 species. We conducted an online validation process with 126 professionals of government agencies, research agencies, universities, NGOs, and private companies. The pathways/vectors assessment using the classification adopted by the Convention on Biological Diversity resulted in 700 pathways/vectors for 319 invasive non-native animal species, and 596 for 238 plant species, totalling 1296 pathways/vectors for 557 species. In aquatic habitats, ballast water and hull fouling are the prevalent pathways for invertebrates, plants and algae, while the ornamental fish trade, aquaculture, and sport fishing are the main pathways for aquatic vertebrates. In terrestrial habitats, invertebrates arrive from unintentional introductions, vertebrates are introduced intentionally, and plants are primarily introduced intentionally for ornamental purposes, shade, or other cultivation. The main pathways are a priority for policy development and for the prevention or interruption of species transits. Recommendations are provided to guide governance and policy development.

Publication
Biological Invasions

Related